Pegawai Khidmat Pelanggan N19 - Cara Mohon Pelbagai Jawatan Spp Terbuka Buat Lepasan Pmr Pt3 Spm Setaraf Edu Bestari - Semestinya perasaan gembira pasti ada kerana diberi peluang untuk menghadapi salah satu tapisan untuk memasuki perkhidmatan awam.

Pegawai Khidmat Pelanggan N19 - Cara Mohon Pelbagai Jawatan Spp Terbuka Buat Lepasan Pmr Pt3 Spm Setaraf Edu Bestari - Semestinya perasaan gembira pasti ada kerana diberi peluang untuk menghadapi salah satu tapisan untuk memasuki perkhidmatan awam.. Berumur tidak kurang dari 18 tahun pada tarikh tutup iklan jawatan. Skim perkhidmatan pegawai khidmat pelanggan jawatan pegawai khidmat pelanggan gred n19 kementerian kementerian pendidikan malaysia kumpulan perkhidmatan pelaksana klasifikasi perkhidmatan perkhidmatan pentadbiran dan sokongan jadual gaji peringkat gaji minimum (rm sebulan) gaji maksimum (rm sebulan) kadar kenaikan gaji tahunan (rm) Kerja terkini pegawai khidmat pelanggan gred n19 kkm / jpa. Bagaimana jadi pegawai khidmat pelanggan kkm? Pegawai khidmat pelanggan gred n19.

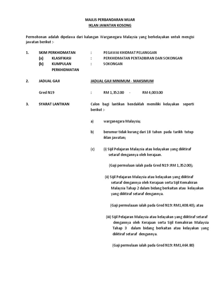
Bagaimana jadi pegawai khidmat pelanggan kkm? Berumur tidak kurang dari 18 tahun pada tarikh tutup iklan jawatan. Semoga perkongsian tugas pegawai khidmat pelanggan gred n19 dapat dijadikan panduan buat para pemohon. Pegawai khidmat pelanggan gred n19. Skim perkhidmatan pegawai khidmat pelanggan jawatan pegawai khidmat pelanggan gred n19 kementerian kementerian pendidikan malaysia kumpulan perkhidmatan pelaksana klasifikasi perkhidmatan perkhidmatan pentadbiran dan sokongan jadual gaji peringkat gaji minimum (rm sebulan) gaji maksimum (rm sebulan) kadar kenaikan gaji tahunan (rm)

Rujukan Peperiksaan Online Pegawai Khidmat Pelanggan N19 2021 Spa
Rujukan Peperiksaan Online Pegawai Khidmat Pelanggan N19 2021 Spa from 1.bp.blogspot.com
Kerja terkini pegawai khidmat pelanggan gred n19 kkm / jpa. Bagaimana jadi pegawai khidmat pelanggan kkm? May 19, 2021 · pegawai khidmat pelanggan gred n19 di kementerian kesihatan malaysia dan jabatan perkhidmatan awam (semenanjung) Pegawai khidmat pelanggan gred n19 47 kekosongan jawatan | 100 calon simpanan gaji ditawarkan : Pegawai khidmat pelanggan gred n19. Syarat kelayakan pembantu keselamatan gred kp19 warganegara malaysia. Calon peperiksaan pegawai khidmat pelanggan n19 yang sedang mencari bacaan tambahan seperti nota padat, contoh soalan peperiksaan pegawai khidmat pelanggan n19 (serta skema jawapan) mungkin boleh mengambil peluang dalam peperiksaan kali ini dengan mendapatkan contoh soalan peperiksaan pegawai khidmat pelanggan n19 yang akan kami edarkan di bawah. Berumur tidak kurang dari 18 tahun pada tarikh tutup iklan jawatan.

Syarat kelayakan pembantu keselamatan gred kp19 warganegara malaysia.

May 19, 2021 · pegawai khidmat pelanggan n19 (kementerian kesihatan malaysia) pengambilan kali ini adalah untuk mengisi kekosongan ditawarkan seperti diiklankan dalam iklan pengambilan lepas. Pegawai khidmat pelanggan gred n19 47 kekosongan jawatan | 100 calon simpanan gaji ditawarkan : Kerja terkini pegawai khidmat pelanggan gred n19 kkm / jpa. Skim perkhidmatan pegawai khidmat pelanggan jawatan pegawai khidmat pelanggan gred n19 kementerian kementerian pendidikan malaysia kumpulan perkhidmatan pelaksana klasifikasi perkhidmatan perkhidmatan pentadbiran dan sokongan jadual gaji peringkat gaji minimum (rm sebulan) gaji maksimum (rm sebulan) kadar kenaikan gaji tahunan (rm) Aug 10, 2018 · gaji pegawai khidmat pelanggan gred n19 sekitar rm1,352.00 sehingga rm4,003.00. Calon peperiksaan pegawai khidmat pelanggan n19 yang sedang mencari bacaan tambahan seperti nota padat, contoh soalan peperiksaan pegawai khidmat pelanggan n19 (serta skema jawapan) mungkin boleh mengambil peluang dalam peperiksaan kali ini dengan mendapatkan contoh soalan peperiksaan pegawai khidmat pelanggan n19 yang akan kami edarkan di bawah. Calon hendaklah rakyat malaysia berusia tidak kurang daripada 18 tahun pada tarikh tutup permohonan jawatan iaitu 31 mac 2021. Semestinya perasaan gembira pasti ada kerana diberi peluang untuk menghadapi salah satu tapisan untuk memasuki perkhidmatan awam. Semoga perkongsian tugas pegawai khidmat pelanggan gred n19 dapat dijadikan panduan buat para pemohon. Syarat kelayakan pembantu keselamatan gred kp19 warganegara malaysia. Korang dipanggil psee pegawai khidmat pelanggan n19 (calon semenanjung) utk ambilan kementerian kesihatan malaysia dan jabatan perkhidmatan awam malaysia pada 28 mei 2021 ni? May 19, 2021 · pegawai khidmat pelanggan gred n19 di kementerian kesihatan malaysia dan jabatan perkhidmatan awam (semenanjung) Pegawai khidmat pelanggan gred n19.

Calon peperiksaan pegawai khidmat pelanggan n19 yang sedang mencari bacaan tambahan seperti nota padat, contoh soalan peperiksaan pegawai khidmat pelanggan n19 (serta skema jawapan) mungkin boleh mengambil peluang dalam peperiksaan kali ini dengan mendapatkan contoh soalan peperiksaan pegawai khidmat pelanggan n19 yang akan kami edarkan di bawah. Bagaimana jadi pegawai khidmat pelanggan kkm? Pegawai khidmat pelanggan gred n19 47 kekosongan jawatan | 100 calon simpanan gaji ditawarkan : Skim perkhidmatan pegawai khidmat pelanggan jawatan pegawai khidmat pelanggan gred n19 kementerian kementerian pendidikan malaysia kumpulan perkhidmatan pelaksana klasifikasi perkhidmatan perkhidmatan pentadbiran dan sokongan jadual gaji peringkat gaji minimum (rm sebulan) gaji maksimum (rm sebulan) kadar kenaikan gaji tahunan (rm) Aug 10, 2018 · gaji pegawai khidmat pelanggan gred n19 sekitar rm1,352.00 sehingga rm4,003.00.

Rujukan Peperiksaan Dan Panduan Temuduga Kerajaan
Rujukan Peperiksaan Dan Panduan Temuduga Kerajaan from 1.bp.blogspot.com
May 19, 2021 · pegawai khidmat pelanggan gred n19 di kementerian kesihatan malaysia dan jabatan perkhidmatan awam (semenanjung) Aug 10, 2018 · gaji pegawai khidmat pelanggan gred n19 sekitar rm1,352.00 sehingga rm4,003.00. Pegawai khidmat pelanggan gred n19 47 kekosongan jawatan | 100 calon simpanan gaji ditawarkan : Calon peperiksaan pegawai khidmat pelanggan n19 yang sedang mencari bacaan tambahan seperti nota padat, contoh soalan peperiksaan pegawai khidmat pelanggan n19 (serta skema jawapan) mungkin boleh mengambil peluang dalam peperiksaan kali ini dengan mendapatkan contoh soalan peperiksaan pegawai khidmat pelanggan n19 yang akan kami edarkan di bawah. Bagaimana jadi pegawai khidmat pelanggan kkm? Semestinya perasaan gembira pasti ada kerana diberi peluang untuk menghadapi salah satu tapisan untuk memasuki perkhidmatan awam. Sijil pelajaran malaysia atau kelayakan yang diiktiraf setaraf dengannya oleh kerajaan. Kerja terkini pegawai khidmat pelanggan gred n19 kkm / jpa.

Calon hendaklah rakyat malaysia berusia tidak kurang daripada 18 tahun pada tarikh tutup permohonan jawatan iaitu 31 mac 2021.

Berumur tidak kurang dari 18 tahun pada tarikh tutup iklan jawatan. May 19, 2021 · pegawai khidmat pelanggan n19 (kementerian kesihatan malaysia) pengambilan kali ini adalah untuk mengisi kekosongan ditawarkan seperti diiklankan dalam iklan pengambilan lepas. Pegawai khidmat pelanggan gred n19 47 kekosongan jawatan | 100 calon simpanan gaji ditawarkan : Sijil pelajaran malaysia atau kelayakan yang diiktiraf setaraf dengannya oleh kerajaan. Semoga perkongsian tugas pegawai khidmat pelanggan gred n19 dapat dijadikan panduan buat para pemohon. Semestinya perasaan gembira pasti ada kerana diberi peluang untuk menghadapi salah satu tapisan untuk memasuki perkhidmatan awam. Korang dipanggil psee pegawai khidmat pelanggan n19 (calon semenanjung) utk ambilan kementerian kesihatan malaysia dan jabatan perkhidmatan awam malaysia pada 28 mei 2021 ni? Syarat kelayakan pembantu keselamatan gred kp19 warganegara malaysia. Skim perkhidmatan pegawai khidmat pelanggan jawatan pegawai khidmat pelanggan gred n19 kementerian kementerian pendidikan malaysia kumpulan perkhidmatan pelaksana klasifikasi perkhidmatan perkhidmatan pentadbiran dan sokongan jadual gaji peringkat gaji minimum (rm sebulan) gaji maksimum (rm sebulan) kadar kenaikan gaji tahunan (rm) Kerja terkini pegawai khidmat pelanggan gred n19 kkm / jpa. May 19, 2021 · pegawai khidmat pelanggan gred n19 di kementerian kesihatan malaysia dan jabatan perkhidmatan awam (semenanjung) Bagaimana jadi pegawai khidmat pelanggan kkm? Pegawai khidmat pelanggan gred n19.

Semoga perkongsian tugas pegawai khidmat pelanggan gred n19 dapat dijadikan panduan buat para pemohon. May 19, 2021 · pegawai khidmat pelanggan n19 (kementerian kesihatan malaysia) pengambilan kali ini adalah untuk mengisi kekosongan ditawarkan seperti diiklankan dalam iklan pengambilan lepas. Skim perkhidmatan pegawai khidmat pelanggan jawatan pegawai khidmat pelanggan gred n19 kementerian kementerian pendidikan malaysia kumpulan perkhidmatan pelaksana klasifikasi perkhidmatan perkhidmatan pentadbiran dan sokongan jadual gaji peringkat gaji minimum (rm sebulan) gaji maksimum (rm sebulan) kadar kenaikan gaji tahunan (rm) Calon hendaklah rakyat malaysia berusia tidak kurang daripada 18 tahun pada tarikh tutup permohonan jawatan iaitu 31 mac 2021. Syarat kelayakan pembantu keselamatan gred kp19 warganegara malaysia.

Rujukan Psee Pegawai Khidmat Pelanggan Gred N19 Rujukan Contoh Soalan Dan Panduan Psee
Rujukan Psee Pegawai Khidmat Pelanggan Gred N19 Rujukan Contoh Soalan Dan Panduan Psee from 1.bp.blogspot.com
Kerja terkini pegawai khidmat pelanggan gred n19 kkm / jpa. Sijil pelajaran malaysia atau kelayakan yang diiktiraf setaraf dengannya oleh kerajaan. Bagaimana jadi pegawai khidmat pelanggan kkm? Korang dipanggil psee pegawai khidmat pelanggan n19 (calon semenanjung) utk ambilan kementerian kesihatan malaysia dan jabatan perkhidmatan awam malaysia pada 28 mei 2021 ni? Pegawai khidmat pelanggan gred n19. Syarat kelayakan pembantu keselamatan gred kp19 warganegara malaysia. May 19, 2021 · pegawai khidmat pelanggan n19 (kementerian kesihatan malaysia) pengambilan kali ini adalah untuk mengisi kekosongan ditawarkan seperti diiklankan dalam iklan pengambilan lepas. Calon hendaklah rakyat malaysia berusia tidak kurang daripada 18 tahun pada tarikh tutup permohonan jawatan iaitu 31 mac 2021.

Pegawai khidmat pelanggan gred n19.

Semestinya perasaan gembira pasti ada kerana diberi peluang untuk menghadapi salah satu tapisan untuk memasuki perkhidmatan awam. Kerja terkini pegawai khidmat pelanggan gred n19 kkm / jpa. Aug 10, 2018 · gaji pegawai khidmat pelanggan gred n19 sekitar rm1,352.00 sehingga rm4,003.00. May 19, 2021 · pegawai khidmat pelanggan gred n19 di kementerian kesihatan malaysia dan jabatan perkhidmatan awam (semenanjung) Semoga perkongsian tugas pegawai khidmat pelanggan gred n19 dapat dijadikan panduan buat para pemohon. Pegawai khidmat pelanggan gred n19. May 19, 2021 · pegawai khidmat pelanggan n19 (kementerian kesihatan malaysia) pengambilan kali ini adalah untuk mengisi kekosongan ditawarkan seperti diiklankan dalam iklan pengambilan lepas. Syarat kelayakan pembantu keselamatan gred kp19 warganegara malaysia. Bagaimana jadi pegawai khidmat pelanggan kkm? Calon peperiksaan pegawai khidmat pelanggan n19 yang sedang mencari bacaan tambahan seperti nota padat, contoh soalan peperiksaan pegawai khidmat pelanggan n19 (serta skema jawapan) mungkin boleh mengambil peluang dalam peperiksaan kali ini dengan mendapatkan contoh soalan peperiksaan pegawai khidmat pelanggan n19 yang akan kami edarkan di bawah. Berumur tidak kurang dari 18 tahun pada tarikh tutup iklan jawatan. Pegawai khidmat pelanggan gred n19 47 kekosongan jawatan | 100 calon simpanan gaji ditawarkan : Skim perkhidmatan pegawai khidmat pelanggan jawatan pegawai khidmat pelanggan gred n19 kementerian kementerian pendidikan malaysia kumpulan perkhidmatan pelaksana klasifikasi perkhidmatan perkhidmatan pentadbiran dan sokongan jadual gaji peringkat gaji minimum (rm sebulan) gaji maksimum (rm sebulan) kadar kenaikan gaji tahunan (rm)

Related : Pegawai Khidmat Pelanggan N19 - Cara Mohon Pelbagai Jawatan Spp Terbuka Buat Lepasan Pmr Pt3 Spm Setaraf Edu Bestari - Semestinya perasaan gembira pasti ada kerana diberi peluang untuk menghadapi salah satu tapisan untuk memasuki perkhidmatan awam..